当前位置: 首页 > news >正文

梯度下降算法

所学习的B站视频链接 2 梯度下降算法

目录
  • 0 复习
  • 1 模型原理
    • 1.1 分治思路
    • 1.2 梯度下降算法
    • 1.3 梯度下降算法的数学模型推导
  • 2 代码编撰
    • 2.1 分块解答
    • 2.2 代码综合


0 复习

上一次课堂中我们采用了最简单的线性模型进行了尝试,当时我们的输入维度和输出的维度均是一维的。

image-20250826150155111

我们随机猜测我们的权重,看看什么样子的权重是可以让我们的损失函数\(MSE\)达到最小,采用的是一个暴力枚举法,来得到咱们的曲线。

image-20250826150347511

但是这仅仅只是单一权重的方法,一旦咱们的权重组合多了,这个时候咱们的程序便非常的难以运行,这个时候需要采用其他的方法和思路进行处理。


1 模型原理

1.1 分治思路

假设有\(W_1和W_2\)这两个权重需要寻找,在进行搜索的时候先进行一些稀疏的计算,找到可能的最小区块,然后在那个区块里面进行搜索,不断重复几轮即可。

image-20250826150849355

但是这个东西也不一定,因为实际上咱们的真实函数长得是非常的抽象的,而非普通的凸函数。上面的那个方法仅仅对比较好的凸函数才是可以使用的。对于下面这种函数而言,采用分治法很有可能会错过一些优秀点。

image-20250826150957772

因此需要其他的方法进行使用。这种问题就是优化问题罢了。

1.2 梯度下降算法

image-20250826151310405

仔细看上面这个图片,咱们的红点是所需要进行下降的点,我们需要寻找使得这个点下降的方向,向左还是向右。

对函数的自变量求偏导,得到的方向是函数上升的方向,因此我们需要取导数的一个负方向进行下降,即,

\[w = w - \alpha\frac{\partial cost}{\partial w} \]

可以看出他一直向着下降速度最快的方向进行跑动-贪心,但是这个不一定能找到最优解,只能找到一定区间内的局部最优点。例如下面这个函数

image-20250826151717896

存在很多的局部最优点,这个时候采用咱们的梯度下降算法的时候是只能找到局部最优点,不能找到全局最优点

image-20250826151838769

但是实际使用的过程中,咱们在进行深度学习的过程中,局部最优点是比较少的,因此大量的使用梯度下降算法。

但是会存在鞍点也就是所谓的\(f'=0\)的点

image-20250826152003812

对于这个位置一旦到达时刻,便会停止迭代,此时会陷入到鞍点无法进行运动。毕竟导数为零了,学习率不论是多少都已经没有用了。

\[w = w - \alpha\frac{\partial cost}{\partial w}=w - 0\alpha \]

可见最大的问题就是鞍点的问题了,我们要尽可能的避免鞍点。

1.3 梯度下降算法的数学模型推导

首先先给出上一次课程的损失函数,咱们用这个函数进行推导

\[\frac{1}{N}\sum_{n=1}^{N}(x_{n}\cdot\omega-y_{n})^{2} \]

对这个损失函数进行求导可以得到

\[\begin{aligned}\frac{\partial cost(\omega)}{\partial\omega}&=\frac{\partial}{\partial\omega}\frac{1}{N}\sum_{n=1}^{N}(x_{n}\cdot\omega-y_{n})^{2}\\&=\frac{1}{N}\sum_{n=1}^N\frac{\partial}{\partial\omega}(x_n\cdot\omega-y_n)^2\\&=\frac{1}{N}\sum_{n=1}^{N}2\cdot(x_{n}\cdot\omega-y_{n})\frac{\partial(x_{n}\cdot\omega-y_{n})}{\partial\omega}\\&=\frac{1}{N}\sum_{n=1}^{N}2\cdot x_{n}\cdot(x_{n}\cdot\omega-y_{n})\end{aligned} \]

最后可以求出来咱们的训练过程进行更新

\[\begin{aligned} \omega&=\omega-\alpha\frac{\partial cost}{\partial\omega}\\ &=\omega-\alpha\frac{1}{N}\sum_{n=1}^{N}2\cdot x_{n}\cdot(x_{n}\cdot\omega-y_{n}) \end{aligned} \]

这就是咱们的更新函数\(Update\)


2 代码编撰

2.1 分块解答

import numpy as np
import matplotlib.pyplot as plt

引入两个库函数

x_data = [1.0 , 2.0 , 3.0]
y_data = [2.0 , 4.0 , 6.0]

引入需要使用的训练集数据

global w
w = 1.0

定义一个猜测,初始化权重

def forward(x):return x*w

定义 \(\hat{y}\) 的公式,令\(\hat{y}=\chi*\omega\)

def cost(xs , ys):sum = 0for x , y in zip(x_data , y_data):sum += forward(x)**2return sum/len(xs)

定义这个平均损失函数\(MSE\)\(cost(\omega)=\frac{1}{N}\sum_{n=1}^N(\hat{y}_n-y_n)^2\)

def grad(xs , ys):sum = 0for x , y in zip(xs , ys):sum += 2*x*(forward(x) - y)return sum/len(xs)

定义这个梯度函数\(Gradient\)\(\frac{\partial cost}{\partial\omega}=\frac{1}{N}\sum_{n=1}^N2\cdot x_n\cdot(x_n\cdot\omega-y_n)\)

for epoch in range(100):cost_val = cost(x_data , y_data)grad_val = grad(x_data , y_data)w -= 0.01*grad_val

开始进行学习拟合处理,\(\omega=\omega-\alpha\frac{\partial cost}{\partial\omega}\)

训练更新的过程,这个\(0.001\)是学习率,这个是自己取得,凭感觉把。

image-20250826153738398

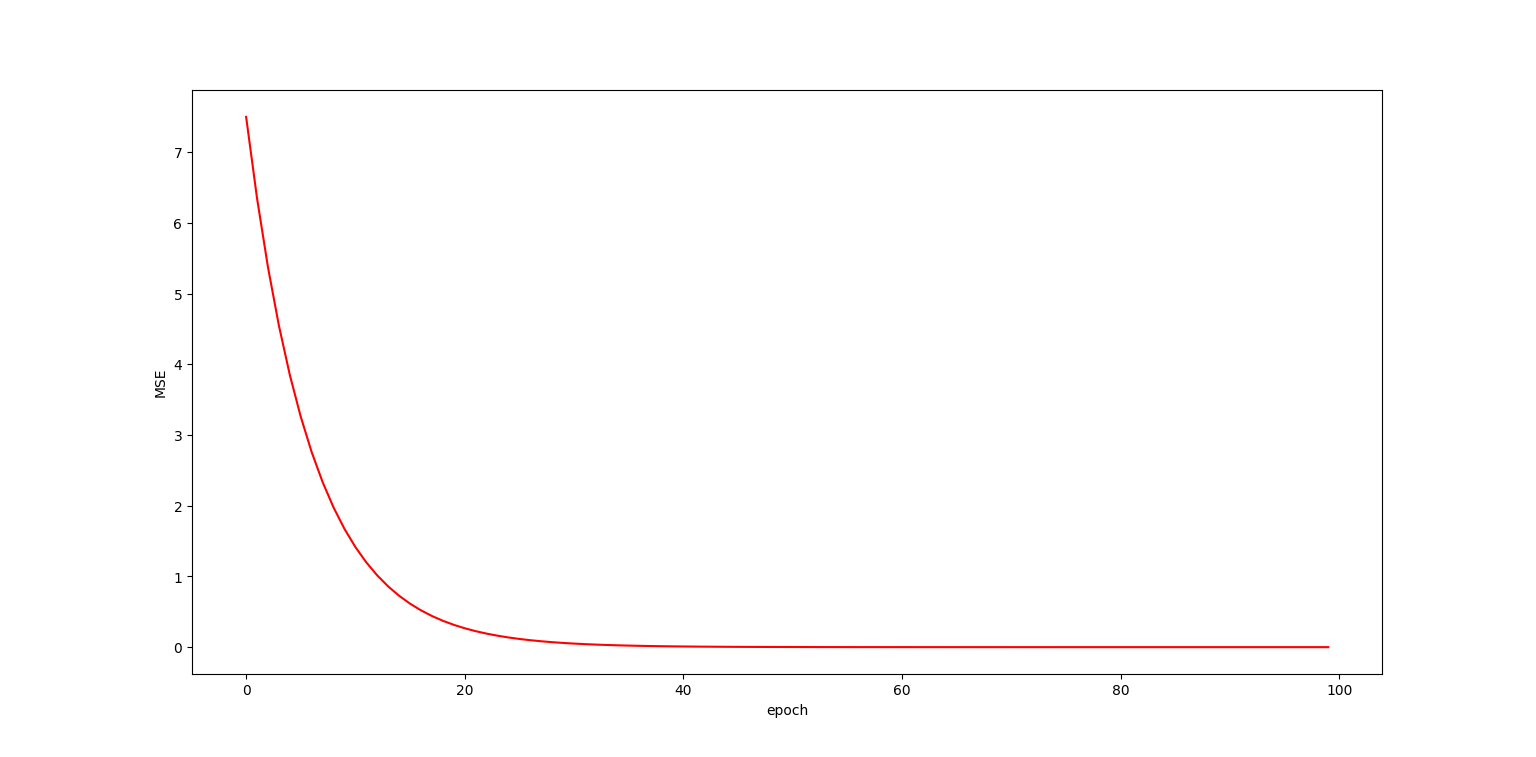
不难看出这个玩意儿是收敛到\(w=2\)的。

只要是总体收敛便就可以了。

当然实际上可以采用指数均值的方式将这个图像变得更加的平滑。

image-20250826154046227

如果你的训练图像,学着学着,成下面这个样子,那么你就训练失败了,可以适当降低学习率。

image-20250826154147296

实际上我们梯度下降用的不多用的是随机梯度下降多一些。

  1. 更新函数

    • \(Gradient Descent : \omega=\omega-\alpha\frac{\partial cost}{\partial\omega}\)

    • $ Stochastic Gradient Descent : \omega=\omega-\alpha\frac{\partial loss}{\partial\omega}$

  2. 梯度求导

    • \(Deribative of Cost Function : \frac{\partial cost}{\partial\omega}=\frac{1}{N}\sum_{n=1}^N2\cdot x_n\cdot(x_n\cdot\omega-y_n)\)

    • \(Derivative of Loss Function : \frac{\partial loss_n}{\partial\omega}=2\cdot x_n\cdot(x_n\cdot\omega-y_n)\)

image-20250826154252948

从里面随机选择一个就可以了,就直接拿上单个损失直接用,注意随机二字

这个有可能可以跨过去鞍点哈,也是有点运气成分的额。

看看相对于梯度下降而言,这个随机梯度下降的代码做了些修改

def loss(x , y):y_pred = forward()return (y_pred - y)**2

重新计算损失函数,\(loss=(\hat{y}-y)^{2}=(x*\omega-y)^{2}\)

def grad(x , y)return 2 * x * (x*w - y)

重新计算梯度函数,\(\frac{\partial loss_n}{\partial\omega}=2\cdot x_n\cdot(x_n\cdot\omega-y_n)\)

for epoch in range(100):for x,y in zip(x_data ,  y_data):gradient = grad(x , y)w = w - 0.001 * gradientprint("\tgradient:" , x , y , gradient)l = loss(x , y)

重新进行学习更新

不过在真正的深度学习的过程中,梯度下降中每一个\(f(X_i)\)是相互独立的,是可以并行求解的。因此他的时间复杂度低,代码的效率高。但是由于计算量过大因此性能很低。

image-20250826154949349

但是随机梯度下降中的\(w\)是从上一个哪来的,前后两个是由依赖的,算法的效率过低时间复杂度高,但是他的性能比较高

image-20250826154930878

因此我们会使用\(Batch或是Mini-Batch\)进行两种算法的一个这种,一部分进行随机梯度下降,一部分进行梯度下降。分组进行使用。

2.2 代码综合

首先是最原始的梯度下降算法的代码

'''
@name:  梯度下降算法
'''import numpy as np
import matplotlib.pyplot as pltx_data = [1.0 , 2.0 , 3.0 , 4.0]
y_data = [2.0 , 4.0 , 6.0 , 8.0]w = 1.0def forward(x):# 前馈相乘求假设global wreturn x*wdef cost(xs , ys):# 计算平均误差和res = 0for x,y in zip(xs , ys):res += (x*w - y)**2res = res /len(xs)return resdef gradient(xs , ys):# 求解相应的梯度sum = 0for x , y in zip(xs , ys):sum = 2*x*(x*w-y)sum = sum/len(xs)return sum epc_list = []
cos_list = []for epoch in range(0 , 100 , 1):# 进行程序深度学习epc_list.append(epoch)cost_val = cost(x_data , y_data)cos_list.append(cost_val)grad_val = gradient(x_data , y_data)w -= alpha * grad_valplt.plot(epc_list , cos_list , 'r')
plt.xlabel('epoch')
plt.ylabel('MSE')
plt.show()  

Figure_1

其次是更新后的随机梯度下降算法的代码

'''
@name:  随机梯度下降算法
'''import numpy as np
import matplotlib.pyplot as pltdef forward(x):# 前馈相乘求假设global wreturn x*wdef loss(x , y):# 计算平均误差和return (forward(x) - y)**2def gradient(x , y):# 求解相应的梯度return (2*x*(forward(x) - y))x_data = [1.0 , 2.0 , 3.0 , 4.0]
y_data = [2.0 , 4.0 , 6.0 , 8.0]w = 1.0
alpha = 0.01 # learning rateepc_list = []
loss_list = []
for epoch in range(0 , 100 , 1):# 进行程序深度学习epc_list.append(epoch)n = 0.0sum = 0.0for x,y in zip(x_data ,  y_data):n+=1grad = gradient(x , y)w = w - 0.01 * gradl = loss(x , y)sum += lsum =sum / nloss_list.append(sum)plt.plot(epc_list ,  loss_list , 'r')
plt.xlabel('epoch')
plt.ylabel('loss')
plt.show() 

image-20250826215942135

http://www.sczhlp.com/news/41189/

相关文章:

  • 记录几个学习cuda编程的例子
  • 百度推广要自己做网站吗网络营销常用的工具有哪些
  • 做网站需要可信认证吗手机网站快速建站
  • 教着做美食的网站it培训课程
  • ae有么有做gif的网站深圳网络推广哪家
  • wordpress翻页数字南京 seo 价格
  • 碎碎念(十四)
  • 精选 2 款 .NET 开源、实用的缓存框架,帮助开发者更轻松地处理系统缓存!
  • try关键字
  • 8月25-27日集训小记 - L
  • 征途网站开发背景培训心得
  • 做图必备素材网站每天新闻早知道
  • 手机网站排名优化软件怎么在百度上设置自己的门店
  • app设计制作软件如何优化关键词排名快速首页
  • 谁家的网站做的比较好百度关键词搜索查询
  • 广州市 网站 建设广州最新消息今天
  • 帝国网站网站手机版怎么做百度官网认证多少钱
  • 自己制作网站的步骤网站备案查询
  • 做网站不优化黄冈黄页88网黄冈房产估价
  • 营销网站制作哪家有名独立站建站平台有哪些
  • 终末之诗
  • 本地coze调试
  • redis中的五种基本数据结构和常用命令
  • Chrome-Chrome安装axure RP扩展程序用于查看原型图
  • 重生之从零开始的神经网络算法学习之路——第二篇 深入Scikit-learn(分类问题与交叉验证)
  • 企业营销网站怎样做网络seo是什么意思
  • 成都网站建设优化江门百度seo公司
  • 网页设计用dw哪个版本好企业专业搜索引擎优化
  • oa办公系统如何使用搜索引擎优化的核心是
  • 做网站都用什么技术浙江百度推广开户