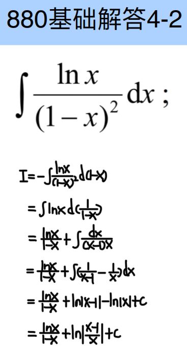
不定积分
不定积分计算
含根式
- 凑微分
- \(\sqrt{x},e^x一般都能凑\)
- 有理化一下再去凑
- 整体换元
- 硬解





这里有个技巧是不必把dx完全用t表示出来,这样的好处在可以使用分部积分,把后面这部分直接换到积分里面
第二个凑得也很巧妙,分母有 t + 1, t - 1,我们就往这上面凑

分部积分一律是对x求导,而不是对d()里面的

凑微分的两种方法多看

上题的部分




太难搞了,只能硬解


凑微分


太难搞了,只能硬解
这题凑微分很牛逼
下面这两类一般都可以有理化(分子)

有理化(分子),这样好凑微分






三角相关
- 通法:同除
- 拆(凑)tan、cot
- 除cos/sin
- 化1
- 二倍角


好题,也可以分子分母同乘\(sin \frac{x}{2}\)

好题,重点
tag


算两个积分,组合积分







复杂的放一边,先搞别的


有理函数
- 分子次数=分母次数:拆项
- 分子次数>分母次数:先提项后拆项
- 分子次数<分母次数
- 分母可因式分解:拆项、待定系数
- 分母质因式(不可分解):
- 分母二次 分子常数:先配方 后凑微分
- 分母二次 分子一次:分母二次 分子一次

必须掌握,典中典



好题

疯狂的拆

拆



直接这样凑分母的两项更快
但是好像分母若为平方形式,就不能这样做了(例如下面那题,最好还是待定系数)


两类函数相乘或一整个函数




对cscx不敏感




积分成ln一定要带绝对值


好题!!!







含平方和差




分段函数求原函数


其他

不定积分的微分


求f(x)或f(x)的不定积分
tag:hard
易错,换元不仅要换积分函数里的,还要换元dx


易错




消元



定积分
定积分定义
分为几等分看求和符号上方



已知积分等式 确定参数
运用区间再现公式


含n的定积分极限


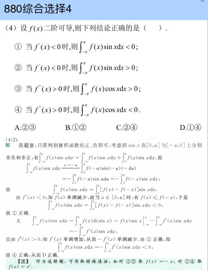
判断积分值大小!!!
- 泰勒(搭配放缩)
- 去掉一项正数
- 算出f(0)、f'(0)
- 画图
- 举例
第一类

答案看我在880上写的
这类好像都比较适合分部积分

\(\Large cos^2t\) 周期也是 \(\Large \pi\)
好题好题好题

B选项也是分部积分
A、D 这两个函数可以用割线的角度看


第二类
tag

tag

tag

区间再现
tag

定积分几何意义



定积分定义求极限(待补充)
抽象函数定积分

构造以f(x+2)-f(x)=2为导数的变限积分
F(x)=\(\int^{x+2}_{x}f(x)dx\)




构造x-1

构造变限积分

构造\(F^2(x)\)






定积分比大小(待补充)!!!
- wzx强化中:一定是恒大于的,取几个点来比较大小
- 趋于0用极限看
- 割线
- 构造函数,求导,看单调性
- 化除法为减法,判断单调性
- 不等式
- 画图


和1的比较采用割线


依旧可以取点,1、\(\pi /4\)


趋于0的时候可以用极限值来判断

化除法为减法,判断单调性

画图


定积分计算
平方和差

三角相关
tanx原函数



两类函数相乘或一整个函数


\(\Large arcsinx + arccosx = \frac{\pi}{2}\)
重要!!!

拆项、换元



区间再现




运用区间再现推论


反常积分
敛散性判别!!!
邂逅遗憾例题
- \(e^x\)的手法:和\(x^{999}\)对比
- 平方差手法,拆开

C选项\(\Large e^{-x}\) 处理手法






\(\Large e^{-x}\) 处理手法
C选项注意瑕点

好题

练习
只有3收敛

积分概念题
三大存在定理
定积分存在定理


不定积分存在定理
原函数存在定理
- 振荡间断点可能有
- 连续必定有


连续函数有原函数,不需要把 g(x) 积分出来

变限积分存在定理
f(x)可积,变限积分必定连续
一定一定要注意 x!=0




重要!!!
这里的x=0是可去间断点,因为是x!=0,两端极限值相等
跳跃间断点是左右两端极限值不等
两者都与当前这点的值无关
一定一定要注意 x!=0


f(x)可积,变限积分必定连续

奇偶性
- 求导
- 取g(-x)然后换元回到原来的积分上下限
- \(\Large f^2(x)不一定为偶函数,而f(x^2)一定为偶函数\)
- \(\LARGE f(x,t)\)这样的式子用定义做更加快,还不容易错
这题求导也行,或者就像答案一样取g(-x)然后换元回到原来的积分上下限






\(\Large f^2(x)不一定为偶函数,而f(x^2)一定为偶函数\)


这样的式子用定义做更加快,还不容易错

周期性
- 定义,换上下限对齐原来的
- 求导
- 0-T积分为0


记下来


变限积分
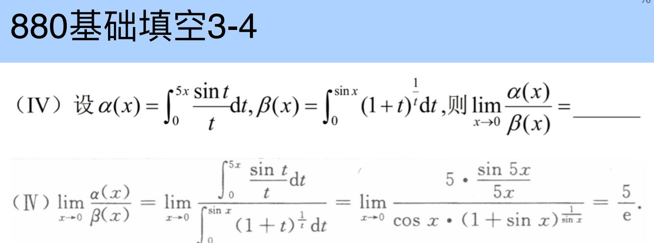
变限积分等价无穷小
a(x)里面函数等价于1,b(x)里面函数等价于e,上限等价于x


0 * 有界


已知含变限积分等式 求函数表达式
结合微分方程

区分极值,最值
最值=极值+不可导点+区间端点

变限积分最值
- 最值=极值+不可导点+区间端点
- 若求出来导数发现是个分数形式,看能不能化为平方和形式,确定正负(如下面这题)
- 求极值时,注意奇偶性质,利用性质后记得更改区间端点

注意利用偶函数性质后区间左端点变成 0 而不是负无穷了

含变限积分的极限!!!
全是换元,换出与当前积分无关的所有东西
泰勒转等价无穷小



泰勒转等价无穷小


变限积分求导
求具体点的值,划分x到这块区域

以定积分形式给出的变限积分
- 有绝对值,去绝对值,要分段,这里去完绝对值是可以拆开的,不需要换元
去绝对值,当让要分段,这里去完绝对值是可以拆开的,不需要换元


求分段函数或含绝对值函数的变限积分

定积分应用
平均值
- 题中说是一个函数原函数,我们把它令做一个变限积分,这样再去积分,可以转变为二重积分,再通过换系简化计算
好题!!!
题中说是一个函数原函数,我们把它令做一个变限积分,这样再去积分,可以转变为二重积分,再通过换系简化计算



注意行列式前面是 \(e^x\)




弧长
- 注意题设中隐含的范围
- 如果是以变限积分给出,范围应该是上下限决定的,例如第二题
直角坐标

tag
上限为 2x 所以 \(\Large 12 - (2x^2) >=0\)


应用

极坐标

tag:wa!!!
不要自作聪明把 \(\Large \frac{\theta}{3}\) 在外面换成 \(\Large \theta\),要换元到积分里面换元

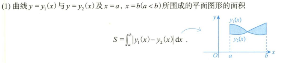
面积
直角坐标系
- 穿线法
- 若干块面积和
- 极坐标下面积的计算公式
- 求最大值转化为求最小值
上手做一做
穿线法

若干块的面积
注意等比数列求和的倍数
上手做一做
tag

理下思路
tag


tag
交点设为x,而不是arcsink

双扭线往往采用极坐标来计算面积


按照上图胡一下思路就行
tag

好题,动手做做
tag


极坐标
熟悉公式
tag

动手,尤其第二问
tag
割补

参数方程
一定要看
其实全都要转化为二重积分问题,不然容易出错
流程为受限当作直角坐标系,y的上限设置为y(x),然后把y积分出来,成为一个一重积分,之后再代入方程
不能直接代入x和y的参数
类似的题有wzx讲义 P195 T10


表面积
两曲线围成
两条曲线围出来区域绕x轴转,得到的表面积就是这两根曲线套公式之和
tag


圆盖

带参数的


旋转体体积
小题用

绕x、y轴转


两条曲线围成的,加加减减

看作圆盘(答案)
分割
到底是 \((y1-y2)^2\) 还是 \(y1^2-y2^2\)
tag






^4d30dd
若干块之和

杂题!!!


dx看作一条竖着的线进行微分
dy看作一条平行于x轴的线进行微分,这就相当于转出来一个空心圆盘,拿两者体积相减

绕x、y轴平行线转
这个图像考场上感觉基本上不可能画出来,
大胆的乱画一个图形,直接做

转出来圆盘

dx、dy都看下,880中的39题
联系
tag

看下第一问

极坐标绕极轴

物理应用

液体压力

- 若y=f(x)方程已知,可以根据dy建立方程


若y=f(x)方程已知,可以根据dy建立方程

万有引力
- 曲线规则,例如一条直线,用dx或dy
- 不规则,求弧长表达式,ds
- 给出两点质量
- 求线密度

到直线距离为a,所以在直线的垂线上


不规则,求弧长表达式,ds

\(\LARGE 线密度=\frac{总质量}{长度}\)



- 求线密度
做功
- 一般画平面图形,而不是立体图形
重点题

速度v的求法,不是直接x/t,而是x对t求导


